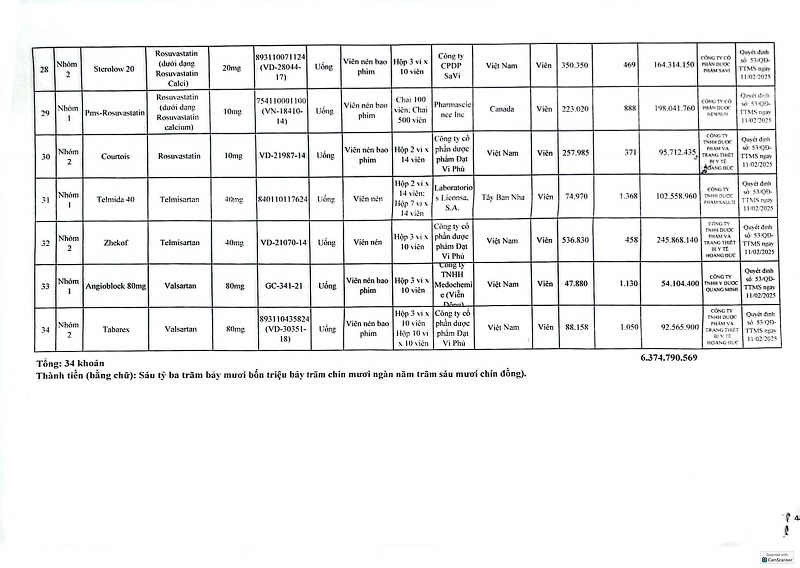
DANH MỤC THUỐC BỔ SUNG DÙNG TRONG BỆNH VIỆN NĂM 2025 (THEO QUYẾT ĐỊNH SỐ 1458/QĐ-BV NGÀY 01/04/2025)

01/04/2025 69 Danh Mục Thuốc




Hotline Hotline
VBot
Bạn cần hỗ trợ gì?
Bác Sĩ Ảo eMed
VBot
Chào bạn, mình là Bác sĩ ảo AI của eMed!
Bạn có thể nhập triệu chứng bệnh mình sẽ tư vấn cho bạn!
Bạn có thể nhờ mình tìm bệnh viện để khám, thông tin thuốc!
Cũng có thể kiểm tra mã số thuế doanh nghiệp kinh doanh hợp pháp không!
Thông tin Bs eMed AI tư vấn chỉ mang tính chất tham khảo. Aisum.vn